Theo Văn phòng Đại diện Thương mại Mỹ, mức thuế đối ứng được xác định dựa trên nhiều yếu tố như kim ngạch xuất khẩu, nhập khẩu, biến động về nhu cầu, sự khác biệt về thuế tiêu thụ, hoạt động thao túng tiền tệ...
Tổng thống Mỹ Donald Trump mới đây công bố áp thuế nhập khẩu đối ứng với hơn 180 đối tác thương mại với mức thuế dao động từ 10% đến 50%.
Đáng chú ý, Nhà Trắng cho rằng Việt Nam đang áp thuế 90% với hàng hóa Mỹ, từ đó quyết định áp mức thuế đối ứng 46%.
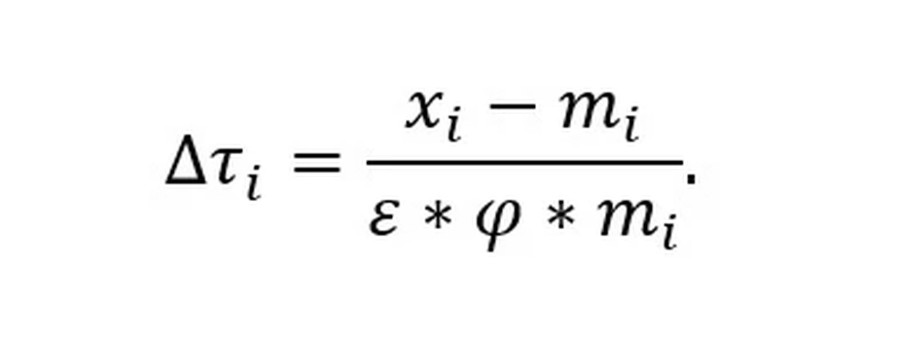
Vài giờ sau thông báo của Tổng thống Mỹ, Văn phòng Đại diện Thương mại Mỹ (USTR) đã công bố công thức tính mức thuế đối ứng dựa trên nhiều yếu tố, từ kim ngạch xuất khẩu, nhập khẩu, mức độ biến động về nhu cầu, biến động giá... như sau:

Công thức tính mức thuế đối ứng (Ảnh: USTR)
Trong đó, x là kim ngạch xuất khẩu; m là kim ngạch nhập khẩu; ε là mức độ biến động về nhập khẩu nếu giá sản phẩm thay đổi; φ là mức độ ảnh hưởng lên giá của thuế nhập khẩu.
USTR cho rằng việc mất cân đối thương mại đã làm chuyển hướng nhu cầu tiêu dùng của người Mỹ, khiến hơn 90.000 nhà máy tại quốc gia này phải đóng cửa kể từ năm 1997. Số việc làm ngành sản xuất cũng giảm hơn 6,6 triệu việc. Vì thế, mục tiêu của công thức trên là đưa thâm hụt thương mại về 0.
Trong khi đó, chia sẻ trên mạng xã hội X, chuyên gia tài chính James Surowiecki cho rằng chính quyền Trump tính thuế đối ứng bằng cách lấy thâm hụt thương mại chia cho kim ngạch xuất khẩu của nước đó sang Mỹ. Sau đó, con số này sẽ được chia đôi để ra thuế đối ứng.
Ông Surowiecki ví dụ Mỹ có thâm hụt thương mại 17,9 tỷ USD với Indonesia. Kim ngạch xuất khẩu của Indonesia sang thị trường này là 28 tỷ USD. Công thức này cho ra mức thuế Indonesia hiện áp với Mỹ là 64%, theo đúng bảng thuế ông Trump đưa ra.
Tương tự Việt Nam, theo số liệu từ USTR, Mỹ đã nhập khẩu 136,6 tỷ USD hàng hóa từ Việt Nam trong năm 2024, với thâm hụt thương mại lên tới 123,5 tỷ USD. Áp dụng công thức của Surowiecki, mức thuế Việt Nam áp với Mỹ được tính là 123,5/136,6 = 90,4% và chia đôi sẽ là hơn 45%.
Vị chuyên gia cho rằng điều này đi ngược với tuyên bố trước đây của Tổng thống Mỹ rằng thuế của mỗi quốc gia sẽ được tính bằng cách kết hợp cả rào cản thuế quan, phi thuế quan và các hình thức gian lận khác. Rào cản phi thuế quan gồm các quy định và chính sách thương mại khó định lượng rõ ràng.
Nội dung liên quan
- Công bố mức thuế đối ứng gây chấn động, Mỹ toan tính điều gì?
- Lãnh đạo Bộ Tài chính: Mức thuế Việt Nam áp lên hàng hóa Mỹ thấp hơn rất nhiều so với con số 90%
- Họp về mức thuế 46% của Mỹ, Thủ tướng yêu cầu lập ngay tổ phản ứng nhanh, khẳng định mục tiêu tăng trưởng 8% không thay đổi
- Việt Nam xuất khẩu gần 120 tỷ USD vào Mỹ trong năm 2024, những mặt hàng nào đóng góp chính?
- Bộ trưởng Công Thương: Việt Nam đang triển khai nhiều giải pháp để cân bằng thương mại với Mỹ, EU
- Thuế 46% của Trump: Việt Nam nên đối phó như thế nào?








